ТЕППИНГ ТЕСТ
Исследование силы нервной системы

Цель исследования: определить тип нервной системы.

Материал и оборудование: бланки, представляющие собой стандартные листы бумаги (203х288 мм, 210х297мм), разделенные на шесть расположенных по три в два ряда квадратов, карандаши, секундомер, протокол исследования.

Процедура исследования

Исследование состоит из двух этапов. Его проводят в паре испытуемый и экспериментатор.

Испытуемого спрашивают о самочувствии и просят удобно расположиться за хорошо освещенным столом, взять бланк и карандаш.


Первый этап

На первом этапе испытуемому предлагают проставлять карандашом точки в бланке правой рукой. По сигналу экспериментатора он должен переходить к расстановке точек из одного квадрата в другой.

Инструкция испытуемому: "По моему сигналу начинайте проставлять карандашом точки в каждом квадрате данного бланка. Старайтесь проставить как можно больше точек и переходите с одного квадрата на другой только по моей команде и только по направлению часовой стрелки. Теперь возьмите в правую руку карандаш и по сигналу "Начали!" проставляйте точки".

Проверив правильность понимания инструкции, экспериментатор дает сигнал "Начали!" и через каждые 5 секунд командует: "Перейти в другой квадрат!" По истечении 5 секунд работы в шестом квадрате он говорит "Стоп!"


Второй этап


Второй этап начинается вслед за первым после прочтения инструкции с предложением взять карандаш в левую руку и проставлять точки на новом бланке левой рукой.

Инструкция и порядок проведения исследования на втором этапе такие же, как и на первом.

Обработка результатов

Цель обработки результатов – определить характер работоспособности испытуемого во время выполнения задания темпинг-теста. Для этого сначала необходимо подсчитать количество точек, расставленных испытуемым за каждые 5 секунд в квадратах первого и второго бланка, и занести результаты в протокол.

Протокол исследования
Затем строятся графики работоспособности отдельно для правой и левой рук. Для этого на оси абсцисс нужно отложить пятисекундные промежутки времени, а на оси ординат – количество точек в каждом квадрате.


Анализ результатов

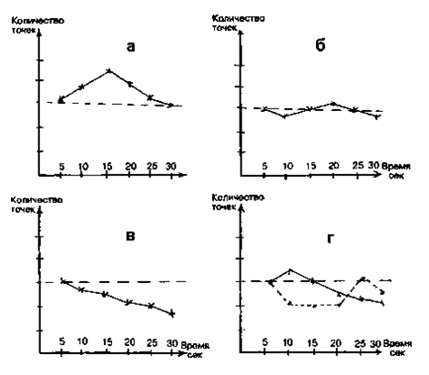
Сила нервной системы диагностируется на основании анализа графика работоспособности по форме кривой согласно нижеуказанным критериям. Типы динамики максимального темпа движения проиллюстрированы графиками (рис.1).

Рис. 1. Графики: а – выпуклого типа; б – ровного типа; в – нисходящего типа; г – промежуточного и вогнутого типов. Горизонтальная линия – линия,отмечающая уровень начального темпа работы в первые 5 секунд



1. График работоспособности по типу выпуклый: темп работоспособности испытуемого нарастает в первые 10-15 секунд работы, а в последующем к 25-30 секундам он может снизиться ниже исходного уровня. Тип нервной системы испытуемого – сильный.

2. График работоспособности по типу ровный, максимальный темп удерживается испытуемым примерно на одном уровне в течение всего времени работы. Тип нервной систему у испытуемого средней силы.

3. График работоспособности по типу нисходящий: максимальный темп снижается уже со второго 5 секундного отрезка времени и остается на сниженном уровне в течение всей остальной работы. Это свидетельствует о слабости типа нервной системы испытуемого.

4. График работоспособности по типу промежуточный; темп работы снижается в этом случае после первых 10-14 секунд. Тип нервной системы в этом случае средне- слабый.

5. График работоспособности по типу вогнутый: первоначальное снижение максимального темпа сменяется затем кратковременным возрастанием темпа до исходного уровня. Вследствие способности к кратковременной мобилизации такие испытуемые также относятся к группе лиц со средне-слабым типом нервной системы.


При анализе результатов сначала сопоставляют графики работоспособности левой и правой руки. В большинстве случаев они по характеру одинаковы. У правшей – работоспособность правой руки выше работоспособности левшей, а у левшей – наоборот. В случае значительных расхождений графиков опыты желательно повторить через некоторые промежутки времени.


Важно сравнить силу нервной системы с особенностями темперамента испытуемого. На этом основании можно дать диагноз работоспособности и продумать рекомендации по ее повышению.

Made on
Tilda